题目内容

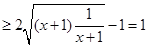
时,的最小值是           

 

【答案】

1

【解析】

试题分析:当时,  当且仅当时取等号.

所以答案为1.

考点:基本不等式的应用.

 

练习册系列答案
相关题目

违法和不良信息举报电话:027-86699610 举报邮箱:58377363@163.com

精英家教网