题目内容

设锐角的三内角所对边的边长分别为,且,则的取值范围为(  ).

A.   B.   C. . D.

 

【答案】

A

【解析】

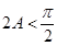
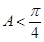
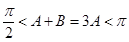
试题分析:要求的范围,首先用正弦定理建立一个关系,,从而,因此我们只要确定出的取值范围,就可求出的取值范围了,,从而,又,所以有,所以

考点:正弦定理,锐角三角形的判定.

 

练习册系列答案
相关题目

违法和不良信息举报电话:027-86699610 举报邮箱:58377363@163.com

精英家教网