题目内容
已知函数
的图象经过
其中e为自然对数的底数,e≈2.71
,
(Ⅰ)求实数a;
(Ⅱ)求f(x)的单调区间;
(Ⅲ)证明:对于任意的n∈N*,都有
成立。
(Ⅰ)求实数a;
(Ⅱ)求f(x)的单调区间;
(Ⅲ)证明:对于任意的n∈N*,都有
解:(Ⅰ)由y=f(x)的图象过点
,
得
。
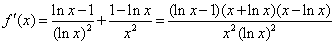
(Ⅱ)
,
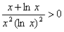
由x>1知
,
令
,
故g(x)在(1,+∞)上为增函数,
当x>1时,
,
令
得x=e,
令
得,x>e;令
得
,
故f(x)的增区间为(e,+∞),减区间为(1,e)。
(Ⅲ)由(Ⅱ)知,f(x)在区间(1,+∞)上的最小值为
,
即当x>1时,
恒成立,
当n∈N*时,令
,
则有
,
即
,
故
成立。
得
(Ⅱ)
由x>1知
令
故g(x)在(1,+∞)上为增函数,
当x>1时,
令
令
故f(x)的增区间为(e,+∞),减区间为(1,e)。
(Ⅲ)由(Ⅱ)知,f(x)在区间(1,+∞)上的最小值为
即当x>1时,
当n∈N*时,令
则有
即
故
练习册系列答案
相关题目