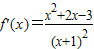
题目内容
函数(1)若f(x)在点(1,f(1))处的切线斜率为
(2)若f(x)在x=1取得极值,求函数f(x)的单调区间.
【答案】分析:(1)求出函数的导函数,把x=1代入导函数得到切线的斜率k,让k=
即可得到a的值;
(2)由f(x)在x=1取得极值得到f′(1)=0,求出a的值,根据函数的定义域为x≠-1,分区间利用x的范围讨论导函数的正负,得到函数的单调区间.
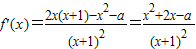
解答:解:(1)
,
若f(x)在点(1,f(1))处的切线斜率为
,则
.
所以,
,得a=1.
(2)因为f(x)在x=1处取得极值,
所以f'(1)=0,即1+2-a=0,a=3,
∴
.
因为f(x)的定义域为{x|x≠-1},所以有:

所以,f(x)的单调递增区间是(-∞,-3),(1+∞),单调递减区间是(-3,-1),(-1,1).
点评:考查学生会利用导数研究曲线上某点的切线方程,会利用导数研究函数的单调性,会利用导数研究函数的极值.
(2)由f(x)在x=1取得极值得到f′(1)=0,求出a的值,根据函数的定义域为x≠-1,分区间利用x的范围讨论导函数的正负,得到函数的单调区间.
解答:解:(1)
若f(x)在点(1,f(1))处的切线斜率为
所以,
(2)因为f(x)在x=1处取得极值,
所以f'(1)=0,即1+2-a=0,a=3,
∴
因为f(x)的定义域为{x|x≠-1},所以有:
所以,f(x)的单调递增区间是(-∞,-3),(1+∞),单调递减区间是(-3,-1),(-1,1).
点评:考查学生会利用导数研究曲线上某点的切线方程,会利用导数研究函数的单调性,会利用导数研究函数的极值.
练习册系列答案
相关题目