题目内容
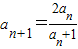
已知数列{an}的首项(Ⅰ)证明:数列
(Ⅱ)求数列
【答案】分析:(1)化简
构造新的数列
,进而证明数列
是等比数列.
(2)根据(1)求出数列
的递推公式,得出an,进而构造数列
,求出数列
的通项公式,进而求出前n项和Sn.
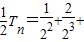
解答:解:(Ⅰ)由已知:
,
∴
,(2分)
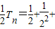
∴
,
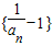
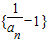
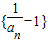
又
,∴
,(4分)
∴数列
是以
为首项,
为公比的等比数列.(6分)
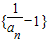
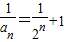
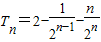
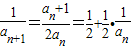
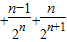
(Ⅱ)由(Ⅰ)知
,
即
,∴
.(8分)
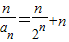
设
,①
则
,②
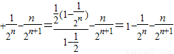
由①-②得:
,(10分)
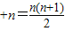
∴
.又1+2+3+
.(12分)
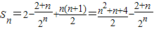
∴数列
的前n项和:
.(14分)
点评:此题主要考查通过构造新数列达到求解数列的通项公式和前n项和的方法.
(2)根据(1)求出数列
解答:解:(Ⅰ)由已知:
∴
∴
又
∴数列
(Ⅱ)由(Ⅰ)知
即
设
则
由①-②得:
∴
∴数列
点评:此题主要考查通过构造新数列达到求解数列的通项公式和前n项和的方法.
练习册系列答案
相关题目