题目内容
设Sn是等差数列{an}的前n项和,已知
【答案】分析:由题意知
,利用等差数列的求和公式,代入可求a1,d,进而可求通项an
解答:解:由题意知
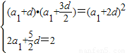
设等差数列{an}的首项为a1,公差为d,则
代入上述不等式组得:
代入上述不等式组得:
解得:
故an=-
或an=1
点评:本题主要考查了等差数列的性质及求和公式的应用,解题过程中要注意计算的正确性.
解答:解:由题意知
设等差数列{an}的首项为a1,公差为d,则
代入上述不等式组得:
代入上述不等式组得:
解得:
故an=-
点评:本题主要考查了等差数列的性质及求和公式的应用,解题过程中要注意计算的正确性.
练习册系列答案
相关题目
设Sn是等差数列{an}的前n项和,S3=3(a2+a8),则
的值为( )
| a3 |
| a5 |
A、
| ||
B、
| ||
C、
| ||
D、
|