题目内容
如图,矩形ABCD中,点E为边CD的中点,若在矩形ABCD内部随机取一个点Q,则点Q取自△ABE内部的概率等于 .
【答案】分析:利用几何概型的计算概率的方法解决本题,关键要弄准所求的随机事件发生的区域的面积和事件总体的区域面积,通过相除的方法完成本题的解答.
解答:解:由几何概型的计算方法,
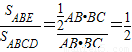
可以得出所求事件的概率为P=
.
故答案为
.
点评:本题主要考查了几何概型,解决此类问题的关键是弄清几何测度,同时考查了题型的面积公式,属于基础题.
解答:解:由几何概型的计算方法,
可以得出所求事件的概率为P=
故答案为
点评:本题主要考查了几何概型,解决此类问题的关键是弄清几何测度,同时考查了题型的面积公式,属于基础题.
练习册系列答案
相关题目