题目内容
已知m∈R,直线l:mx-(m2+1)y=4m和圆C:x2+y2-8x+4y+16=0.(1)求直线l斜率的取值范围;
(2)直线l能否将圆C分割成弧长的比值为
【答案】分析:(1)写出直线的斜率利用基本不等式求最值;
(2)直线与圆相交,注意半径、弦心距、弦长的一半构成的直角三角形
解答:解:
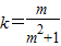
(1)直线l的方程可化为
,此时斜率
,
即km2-m+k=0,∵△≥0,∴1-4k2≥0,
所以,斜率k的取值范围是
.
(2)不能.由(1知l的方程为y=k(x-4),其中
;
圆C的圆心为C(4,-2),半径r=2;圆心C到直线l的距离
由
,得
,即
,
从而,若l与圆C相交,则圆C截直线l所得的弦所对的圆心角小于
,
所以l不能将圆C分割成弧长的比值为
的两段弧.
点评:本题考查直线与圆及不等式知识的综合应用.
高考考点:直线与圆及不等式知识的综合应用
易错点:对有关公式掌握不到位而出错.
全品备考提示:本题不是很难,但需要大家有扎实的功底,对相关知识都要受熟练掌握.
(2)直线与圆相交,注意半径、弦心距、弦长的一半构成的直角三角形
解答:解:
(1)直线l的方程可化为
即km2-m+k=0,∵△≥0,∴1-4k2≥0,
所以,斜率k的取值范围是
(2)不能.由(1知l的方程为y=k(x-4),其中
圆C的圆心为C(4,-2),半径r=2;圆心C到直线l的距离
由
从而,若l与圆C相交,则圆C截直线l所得的弦所对的圆心角小于
所以l不能将圆C分割成弧长的比值为
点评:本题考查直线与圆及不等式知识的综合应用.
高考考点:直线与圆及不等式知识的综合应用
易错点:对有关公式掌握不到位而出错.
全品备考提示:本题不是很难,但需要大家有扎实的功底,对相关知识都要受熟练掌握.
练习册系列答案
相关题目