题目内容

已知动圆C经过点,且在x轴上截得弦长为2,记该圆圆心的轨迹为E.

(Ⅰ)求曲线E的方程;

(Ⅱ)过点的直线m交曲线E于A,B两点,过A,B两点分别作曲线E的切线,两切线交于点C,当△ABC的面积为时,求直线m的方程.

 

【答案】

(Ⅰ)x2=2y;(Ⅱ)直线m的方程为y=±x+

【解析】

试题分析:(Ⅰ)根据定义法确定轨迹为抛物线,然后借助圆C被x轴截得弦长的最小值为1求解参数m的值;(Ⅱ)利用导数的几何意义求解抛物线的切线方程,然后将三角形面积进行表示,其底边用弦长公式进行表示,高用点到直线的距离进行表示,得到含有直线m的斜率k的等式.

试题解析:(Ⅰ)设圆C的圆心坐标为(x,y),则其半径r=

依题意,r2-y2=1,即x2+(y-1)2-y2=1,

整理得曲线E的方程为x2=2y.                                                                                …4分

(Ⅱ)设A(x1,y1),B(x2,y2),则y1,y2

设直线m方程为y=kx+,代入曲线E方程,得

x2-2kx-1=0,则x1+x2=2k.                                                                               …6分

对y=x2求导,得y¢=x.

于是过点A的切线为y=x1(x-x1)+,即y=x1x-.                       ①

由①同理得过点B的切线为y=x2x-.                                                                 ②

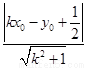
设C(x0,y0),由①、②及直线m方程得

x0=k,y0=x1x0=-.                                                                    8分

M为抛物线的焦点,y=-为抛物线的准线,由抛物线的定义,得

|AB|=y1+y2=k(x1+x2)+2=2(k2+1).

点C到直线m的距离d=.                                               10分

所以△ABC的面积S=|AB|·d=(k2+1)

由已知(k2+1)=2,有且仅有k=±1.

故直线m的方程为y=±x+.                                                                             12分

考点:1.轨迹方程;2.抛物线的切线;3.三角形面积公式.

 

练习册系列答案
相关题目

违法和不良信息举报电话:027-86699610 举报邮箱:58377363@163.com

精英家教网