题目内容
f(x)是定义在R上的奇函数,且当x>0时,f(x)=2+lnx.(1)求f(x)在R上的解析式;
(2)求满足f(x)=0的x值.
【答案】分析:(1)由f(x)是定义在R上的奇函数,且当x>0时,f(x)=2+lnx,知当x=0时,f(x)=0,当x<0时,-f(x)=2+ln(-x),由此能求出f(x).
(2)当x>0时,f(x)=2+lnx=0,得lnx=-2;当x=0时,f(x)=0,得x=0;当x<0时,f(x)=-2-lnx=0,得lnx=-2由此能求出满足f(x)=0的x值.
解答:解:(1)∵f(x)是定义在R上的奇函数,
且当x>0时,f(x)=2+lnx,
∴当x=0时,f(x)=0,
当x<0时,-f(x)=2+ln(-x),即f(x)=-2-ln(-x),
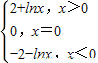
∴f(x)=
.(5分)
(2)当x>0时,f(x)=2+lnx=0,得lnx=-2,∴x=e-2;
当x=0时,f(x)=0,得x=0;
当x<0时,f(x)=-2-lnx=0,得lnx=-2,∴x=e-2.
∴满足f(x)=0的x值为:
.(10分)
点评:本题考查函数的奇偶性的性质和应用,考查分段函数的函数值的求法,是基础题,解题时要认真审题,仔细解答.
(2)当x>0时,f(x)=2+lnx=0,得lnx=-2;当x=0时,f(x)=0,得x=0;当x<0时,f(x)=-2-lnx=0,得lnx=-2由此能求出满足f(x)=0的x值.
解答:解:(1)∵f(x)是定义在R上的奇函数,
且当x>0时,f(x)=2+lnx,
∴当x=0时,f(x)=0,
当x<0时,-f(x)=2+ln(-x),即f(x)=-2-ln(-x),
∴f(x)=
(2)当x>0时,f(x)=2+lnx=0,得lnx=-2,∴x=e-2;
当x=0时,f(x)=0,得x=0;
当x<0时,f(x)=-2-lnx=0,得lnx=-2,∴x=e-2.
∴满足f(x)=0的x值为:
点评:本题考查函数的奇偶性的性质和应用,考查分段函数的函数值的求法,是基础题,解题时要认真审题,仔细解答.
练习册系列答案
相关题目
设f(x)是定义在R上的函数,且对任意实数x,恒有f(x+2)=-3f(x).当x∈[0,2]时,f(x)=2x-x2.则f(0)+f(-1)+f(-1)+…+f(-2014)=( )
A、-
| ||||
B、-
| ||||
C、-
| ||||
D、-
|