题目内容
过点(2,-2)且与双曲线A.
B.
C.
D.
【答案】分析:设所求双曲线方程为
-y2=λ,把(2,-2)代入方程
-y2=λ,求出λ,可得到所求的双曲线方程.
解答:解:设所求双曲线方程为
-y2=λ,
把(2,-2)代入方程
-y2=λ,
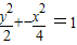
解得λ=-2.由此可求得所求双曲线的方程为
.
故选A.
点评:本题考查双曲线的渐近线方程,解题时要注意公式的灵活运用.
解答:解:设所求双曲线方程为
把(2,-2)代入方程
解得λ=-2.由此可求得所求双曲线的方程为
故选A.
点评:本题考查双曲线的渐近线方程,解题时要注意公式的灵活运用.
练习册系列答案
相关题目
过点(2,-2)且与双曲线
-y2=1有公共渐近线的双曲线方程是( )
| x2 |
| 2 |
A、
| ||||
B、
| ||||
C、
| ||||
D、
|