题目内容
(12分)已知数列
是等差数列,且
,
.
(1)求数列
的通项公式及前
项和
;
(2)求
的值.
答案
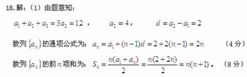
![]()
(2)![]()
![]()
![]()
![]()
=1-
=
(12分)
练习册系列答案
相关题目
题目内容
(12分)已知数列
是等差数列,且
,
.
(1)求数列
的通项公式及前
项和
;
(2)求
的值.
答案
![]()
(2)![]()
![]()
![]()
![]()
=1-
=
(12分)