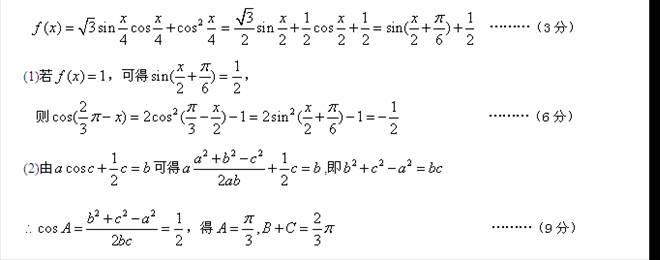
题目内容
(12分)已知向量m
,n
,函数
m·n.
(1)若
,求
的值;
(2)在锐角△ABC中,角A,B,C的对边分别是
,且满足
,求
的取值范围.
解:
![]()
又
均为锐角
![]()
![]()
的取值范围是:![]()
练习册系列答案
相关题目
题目内容
(12分)已知向量m
,n
,函数
m·n.
(1)若
,求
的值;
(2)在锐角△ABC中,角A,B,C的对边分别是
,且满足
,求
的取值范围.
解:
![]()
又
均为锐角
![]()
![]()
的取值范围是:![]()