题目内容
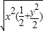
设x∈R+且
【答案】分析:利用基本不等式,可求得x
≤
,从而可求得答案.
解答:解:∵x>0,
∴x
=
•
≤
,
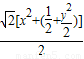
又x2+(
+
)=(x2+
)+
=
∴x
≤
(
×
)=
即
=
.
点评:本题考查基本不等式,求得x
≤
是关键,也是难点所在,属于中档题.
解答:解:∵x>0,
∴x
又x2+(
∴x
即
点评:本题考查基本不等式,求得x
练习册系列答案
相关题目
题目内容
设x∈R+且