题目内容
已知数列{an}中,a1=1,且an+1-an=3n-n,求数列{an}的通项公式。
解:由
,得
,

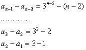
当n>1时,等式两边相加,可得
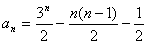
,
当n=1时,a1也符合上式;
所以,
的通项公式是
。
当n>1时,等式两边相加,可得
当n=1时,a1也符合上式;
所以,
练习册系列答案
相关题目
已知数列{an}中,a1=1,2nan+1=(n+1)an,则数列{an}的通项公式为( )
A、
| ||
B、
| ||
C、
| ||
D、
|
题目内容
A、
| ||
B、
| ||
C、
| ||
D、
|