题目内容
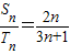
等差数列{an}和{bn}的前n项和分别为Sn和Tn,且A.
B.
C.
D.
【答案】分析:根据等差数列的性质知,求两个数列的第五项之比,可以先写出两个数列的前9项之和之比,代入数据做出比值.
解答:解:∵等差数列{an}和{bn}的前n项和分别为Sn和Tn,
,
=
=
=
=
故选D.
点评:本题考查等差数列的性质,是一个基础题,题目只要看出数列的基本量的运算,这种题目一般是一个送分题目.
解答:解:∵等差数列{an}和{bn}的前n项和分别为Sn和Tn,
故选D.
点评:本题考查等差数列的性质,是一个基础题,题目只要看出数列的基本量的运算,这种题目一般是一个送分题目.
练习册系列答案
相关题目
等差数列{an}和{bn}的前n项和分别为Sn和Tn,且
=
,则
( )
| Sn |
| Tn |
| 2n |
| 3n+1 |
| a5 |
| b5 |
A、
| ||
B、
| ||
C、
| ||
D、
|
两个等差数列an和bn的前n项的和分别为Sn和Tn,若
=
(n∈N+),则
的值为( )
| Sn |
| Tn |
| 7n+2 |
| n+4 |
| a5 |
| b5 |
A、
| ||
B、
| ||
C、
| ||
D、
|