题目内容
设F为抛物线y2=2px(p>0)的焦点,A为抛物线上任意一点,以F为圆心,|AF|为半径画圆,与x轴负半轴交于B点,试判断过A,B的直线与抛物线的位置关系,并证明.
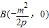
【答案】分析:设A(
,m),则|AF|=
+
,所以AB:2my=2px+m2,联立
,得y2-2my+m2=0,再利用根的判别式能判断直线AB与抛物线的位置关系.
解答:解:设A(
,m),
则|AF|=
+
,
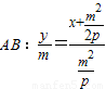
∴
,∴
,
即2my=2px+m2,
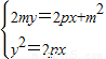
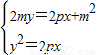
联立
,得y2-2my+m2=0,
∴△=4m2-4m2=0,
∴直线AB与抛物线相切.
点评:本题考查直线与抛物线的位置关系的判断与应用,解题时要认真审题,注意根的判别式的合理运用.
解答:解:设A(
则|AF|=
∴
即2my=2px+m2,
联立
∴△=4m2-4m2=0,
∴直线AB与抛物线相切.
点评:本题考查直线与抛物线的位置关系的判断与应用,解题时要认真审题,注意根的判别式的合理运用.
练习册系列答案
相关题目