题目内容
在平面直角坐标系中,O为坐标原点,给定两点A(1,0),B(0,-2),点C满足(1)求点C的轨迹方程;
(2)设点C的轨迹与双曲线
(3)在(2)的条件下,若双曲线的离心率不大于
【答案】分析:(1)由向量等式,得点C的坐标,消去参数即得点C的轨迹方程;
(2)将直线与双曲线方程组成方程组,利用方程思想,求出x1x2+y1y2,再结合向量的垂直关系得到关于a,b的关系,化简即得结论.
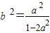
(3)由(2)得
从而
又e
得出
.解得双曲线实轴长2a的取值范围即可.
解答:解:(1)设C(x,y),∵
∴(x,y)=m(1,0)+n(0,-2).
∴
∵m-2n=1,
∴x+y=1
即点C的轨迹方程为x+y=1(15分)
(2)由
得(b2-a2)x2+2a2x2-a2-a2b2=0
由题意得
(8分)
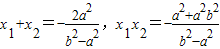
设M(x1,y1),N(x2,y2),
则
∵以MN为直径的圆过原点,∴
.即x1x2+y1y2=0.
∴x1x2+(1-x1)(1-x2)=1-(x1+x2)+2x1x2
=
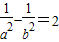
.即b2-a2-2a2b2=0.
∴
为定值.(14分)
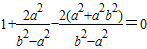
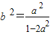
(3)∵
∴
∵e
∴
.
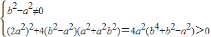
∴
解得:0<a≤
,0<2a≤1
∴双曲线实轴长的取值范围是(0,1].
点评:本小题主要考查双曲线的标准方程和几何性质、直线方程、求曲线的方程等基础知识,考查曲线和方程的关系等解析几何的基本思想方法及推理、运算能力.
(2)将直线与双曲线方程组成方程组,利用方程思想,求出x1x2+y1y2,再结合向量的垂直关系得到关于a,b的关系,化简即得结论.
(3)由(2)得
解答:解:(1)设C(x,y),∵
∴(x,y)=m(1,0)+n(0,-2).
∴
∴x+y=1
即点C的轨迹方程为x+y=1(15分)
(2)由
由题意得
设M(x1,y1),N(x2,y2),
则
∵以MN为直径的圆过原点,∴
∴x1x2+(1-x1)(1-x2)=1-(x1+x2)+2x1x2
=
∴
(3)∵
∴
∵e
∴
解得:0<a≤
∴双曲线实轴长的取值范围是(0,1].
点评:本小题主要考查双曲线的标准方程和几何性质、直线方程、求曲线的方程等基础知识,考查曲线和方程的关系等解析几何的基本思想方法及推理、运算能力.
练习册系列答案
相关题目