题目内容
设Sn是等差数列{an}的前n项和,已知a2=3,a6=11,则S7等于( )A.13
B.35
C.49
D.63
【答案】分析:根据等差数列的性质可知项数之和相等的两项之和相等即a1+a7=a2+a6,求出a1+a7的值,然后利用等差数列的前n项和的公式表示出S7,将a1+a7的值代入即可求出.
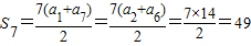
解答:解:因为a1+a7=a2+a6=3+11=14,
所以
故选C.
点评:此题考查学生掌握等差数列的性质及前n项和的公式,是一道基础题.
解答:解:因为a1+a7=a2+a6=3+11=14,
所以
故选C.
点评:此题考查学生掌握等差数列的性质及前n项和的公式,是一道基础题.
练习册系列答案
相关题目
设Sn是等差数列{an}的前n项和,S3=3(a2+a8),则
的值为( )
| a3 |
| a5 |
A、
| ||
B、
| ||
C、
| ||
D、
|