题目内容
设向量a=(sinx,cosx),b=(cosx,cosx),x∈R,函数f(x)=a·(a+b),
(Ⅰ)求函数f(x)的最大值与最小正周期;
(Ⅱ)求使不等式f(x)≥
成立的x的取值集。
(Ⅰ)求函数f(x)的最大值与最小正周期;
(Ⅱ)求使不等式f(x)≥
解:(Ⅰ)∵
,
∴f(x)的最大值为
,最小正周期是
。
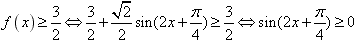
(Ⅱ)由(Ⅰ)知

,
即
成立的x的取值集合是
。
∴f(x)的最大值为
(Ⅱ)由(Ⅰ)知
即
练习册系列答案
相关题目