题目内容
如图,已知双曲线以长方形ABCD的顶点A,B为左、右焦点,且过C,D两顶点.若AB=4,BC=3,则此双曲线的标准方程为 .
【答案】分析:由题意可得点A,B,C的坐标,设出双曲线的标准方程,根据题意知2a=AC-BC,求得a,进而根据b,a和c的关系求得b,则双曲线的方程可得.
解答:解:由题意可得点OA=OB=2,AC=5
设双曲线的标准方程是
.
则2a=AC-BC=5-3=2,
所以a=1.
所以b2=c2-a2=4-1=3.
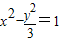
所以双曲线的标准方程是
.
故答案为:
点评:本题主要考查了双曲线的标准方程以及直线与椭圆的关系.解答的关键是合理利用双曲线的定义解题.
解答:解:由题意可得点OA=OB=2,AC=5
设双曲线的标准方程是
则2a=AC-BC=5-3=2,
所以a=1.
所以b2=c2-a2=4-1=3.
所以双曲线的标准方程是
故答案为:
点评:本题主要考查了双曲线的标准方程以及直线与椭圆的关系.解答的关键是合理利用双曲线的定义解题.
练习册系列答案
相关题目