题目内容
向量
在向量
方向上的投影为 .
【答案】
![]()
【解析】
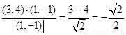
试题分析:向量投影的定义是,向量
在向量
方向上的投影是
,它还等于
,故所求投影为
.
考点:向量的数量积与投影.
练习册系列答案
相关题目
题目内容
向量
在向量
方向上的投影为 .
![]()
【解析】
试题分析:向量投影的定义是,向量
在向量
方向上的投影是
,它还等于
,故所求投影为
.
考点:向量的数量积与投影.