题目内容
等比数列{an}的前n项和为Sn,a1=1,若a5=8a2,则S4=( )A.7
B.8
C.16
D.15
【答案】分析:等比数列{an}的前n项和为Sn,a1=1,根据等比数列的通项公式,设出公比为q,代入a5=8a2,求出公比q,再很据等比数列前n项和公式;
解答:解:等比数列{an}的前n项和为Sn,a1=1,设出公比为q,
∴a1q4=8(a1•q),∴q=2,
an=a1×qn-1=1×2n-1,
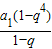
∴S4=
=
=15,
故选D;
点评:此题主要考查等比数列的前n项和公式及其应用,是一道基础题;
解答:解:等比数列{an}的前n项和为Sn,a1=1,设出公比为q,
∴a1q4=8(a1•q),∴q=2,
an=a1×qn-1=1×2n-1,
∴S4=
故选D;
点评:此题主要考查等比数列的前n项和公式及其应用,是一道基础题;
练习册系列答案
相关题目