题目内容

变量U与V相对应的一组样本数据为(1,1.4),(2,2.2),(3,3),(4,3.8),由上述样本数据得到U与V的线性回归分析,R2表示解释变量对于预报变量变化的贡献率,则R2=( )
A.
B.
C.1
D.3
【答案】分析:由给出的两个变量呈线性相关,所以相关指数就等于相关系数,直接代入相关系数公式求解即可.
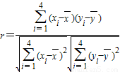
解答:解:在线性回归中,相关指数R2等于相关系数,
由x1=1,x2=2,x3=3,x4=4得:
y1=1.4,y2=2.2,y3=3,y4=3.8得:
所以相关系数===1.
故选C.
点评:本题考查了相关系数,考查了学生的计算能力,考查了对公式的记忆,解答此题的关键是懂得呈线性相关的两个变量的相关指数就等于相关系数,此题是基础题.
练习册系列答案
相关题目

违法和不良信息举报电话:027-86699610 举报邮箱:58377363@163.com

精英家教网