题目内容
设函数f(x)=(sinωx+cosωx)2+2cos2ωx(ω>0)的最小正周期为
,
(Ⅰ)求ω的最小正周期;
(Ⅱ)若函数y=g(x)的图像是由y=f(x)的图像向右平移
个单位长度得到,求y=g(x)的单调增区间。
(Ⅰ)求ω的最小正周期;
(Ⅱ)若函数y=g(x)的图像是由y=f(x)的图像向右平移
解:(Ⅰ)
,
依题意得
,故ω的最小正周期为
;
(Ⅱ)依题意得:
,
由
,
解得
,
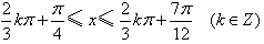
故y=g(x)的单调增区间为:
。
依题意得
(Ⅱ)依题意得:
由
解得
故y=g(x)的单调增区间为:
练习册系列答案
相关题目