题目内容
已知向量a=(cosx,
sinx),b=(cosx,cosx),函数f(x)=a·b,
(Ⅰ)求函数f(x)在
上的值域;
(Ⅱ)当x∈(0,π)时,若a∥b,求x的值。
(Ⅰ)求函数f(x)在
(Ⅱ)当x∈(0,π)时,若a∥b,求x的值。
解:(Ⅰ)f(x)=a·b=cos2x+
,
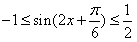
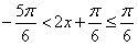
,
∴
,
∴
,
∴
,
即f(x)的值域为
;
(Ⅱ)∵a∥b,
∴cos2x=
,
∴
,即cosx=0或cosx=
,
∵x∈(0,π),
∴
。
∴
∴
∴
即f(x)的值域为
(Ⅱ)∵a∥b,
∴cos2x=
∴
∵x∈(0,π),
∴
练习册系列答案
相关题目