题目内容
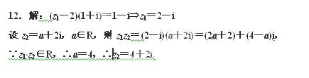
已知复数z1满足(z1-2)(1+i)=1-i(i为虚数单位).复数z2的虚部为2,且z1·z2是实数.求z2.
(2004·上海)已知复数z1满足(1+i)z1=-1+5i,z2=a-2-i,其中i为虚数单位,a∈R,若|z-2|<|z1|,求a的取值范围.
已知复数Z1满足(1+i)Z=-1+5i,Z2=a-2-i,其中l为虚数单位,a∈R,若|Z-Z2-|<|Z1|,求a的取值范围.
(04年上海卷)(12分)
已知复数z1满足(1+i)z1=-1+5i, z2=a-2-i, 其中i为虚数单位,a∈R, 若<,求a的取值范围.
已知复数z1满足(1+i)z1=-1+5i, z2=a-2-i, 其中i为虚数单位,a∈R, 若<,求a的取值范围.