题目内容
(1)Sn为等差数列{an}的前n项和,S2=S6,a4=1,求a5.(2)在等比数列{an}中,若a4-a2=24,a2+a3=6,求首项a1和公比q.
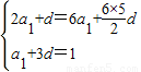
【答案】分析:(1)设等差数列{an}的公差为d,由已知可得
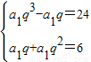
,解之即可;(2)由已知可得
,解之可得.
解答:解:(1)设等差数列{an}的公差为d,
由已知可得
,
解之可得
,故a5=1+(-2)=-1;
(2)由已知可得
,
解之可得
点评:本题考查等差数列和等比数列的通项公式,属基础题.
解答:解:(1)设等差数列{an}的公差为d,
由已知可得
解之可得
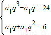
(2)由已知可得
解之可得
点评:本题考查等差数列和等比数列的通项公式,属基础题.
练习册系列答案
相关题目