题目内容
已知动点M(x,y)到直线l:x=4的距离是它到点N(1,0)的距离的2倍.(Ⅰ) 求动点M的轨迹C的方程;
(Ⅱ) 过点P(0,3)的直线m与轨迹C交于A,B两点.若A是PB的中点,求直线m的斜率.
【答案】分析:(Ⅰ)直接由题目给出的条件列式化简即可得到动点M的轨迹C的方程;
(Ⅱ)经分析当直线m的斜率不存在时,不满足A是PB的中点,然后设出直线m的斜截式方程,和椭圆方程联立后整理,利用根与系数关系写出x1+x2,x1x2,结合2x1=x2得到关于k的方程,则直线m的斜率可求.
解答:解:(Ⅰ)点M(x,y)到直线x=4的距离是它到点N(1,0)的距离的2倍,则
|x-4|=2
,即(x-4)2=4[(x-1)2+y2],
整理得
.
所以,动点M的轨迹是椭圆,方程为
;
(Ⅱ)P(0,3),设A(x1,y1),B(x2,y2),由A是PB的中点,得2x1=0+x2,2y1=3+y2.
椭圆的上下顶点坐标分别是
和
,经检验直线m不经过这两点,即直线m的斜率k存在.
设直线m的方程为:y=kx+3.
联立
,
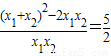
整理得:(3+4k2)x2+24kx+24=0.
.
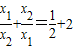
因为2x1=x2.
则
,得
,
所以
.
即
,解得
.
所以,直线m的斜率
.
点评:本题考查了曲线方程,考查了直线与圆锥曲线的位置关系,考查了学生的计算能力,关键是看清题中给出的条件,灵活运用韦达定理,中点坐标公式进行求解,是中档题.
(Ⅱ)经分析当直线m的斜率不存在时,不满足A是PB的中点,然后设出直线m的斜截式方程,和椭圆方程联立后整理,利用根与系数关系写出x1+x2,x1x2,结合2x1=x2得到关于k的方程,则直线m的斜率可求.
解答:解:(Ⅰ)点M(x,y)到直线x=4的距离是它到点N(1,0)的距离的2倍,则
|x-4|=2
整理得
所以,动点M的轨迹是椭圆,方程为
(Ⅱ)P(0,3),设A(x1,y1),B(x2,y2),由A是PB的中点,得2x1=0+x2,2y1=3+y2.
椭圆的上下顶点坐标分别是
设直线m的方程为:y=kx+3.
联立
整理得:(3+4k2)x2+24kx+24=0.
因为2x1=x2.
则
所以
即
所以,直线m的斜率
点评:本题考查了曲线方程,考查了直线与圆锥曲线的位置关系,考查了学生的计算能力,关键是看清题中给出的条件,灵活运用韦达定理,中点坐标公式进行求解,是中档题.
练习册系列答案
相关题目