题目内容
已知A.7
B.3
C.-8
D.4
【答案】分析:根据分段函数的性质,把4代入相对应的定义域进行求解;
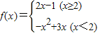
解答:解:∵
,
∴f(4)=2×4-1=7,
故选A;
点评:分段函数分段处理,这是研究分段函数图象和性质最核心的理念,此题是一道基础题;
解答:解:∵
∴f(4)=2×4-1=7,
故选A;
点评:分段函数分段处理,这是研究分段函数图象和性质最核心的理念,此题是一道基础题;
练习册系列答案
相关题目
题目内容
已知