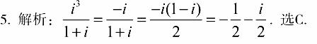
题目内容
复数
(i为虚数单位)的实部是 ( )
A.-1 B.1 C.
D.![]()
练习册系列答案
相关题目
若复数
=1+4i(z是复数,i为虚数单位),则复数
=( )
| z+3i |
| 1-2i |
. |
| z |
| A、9+i | B、9-i |
| C、2+i | D、2-i |