搜索
题目内容
在△ABC中,求证:
试题答案
相关练习册答案
练习册系列答案
口算题卡北京妇女儿童出版社系列答案
完美读法系列答案
美文赏读系列答案
必考点灵通复习法系列答案
名校调研系列卷每周一考系列答案
同步解析与测评初中总复习指导与训练系列答案
专题分类卷系列答案
英语组合阅读系列答案
学习指导用书系列答案
精讲精练宁夏人民教育出版社系列答案
相关题目
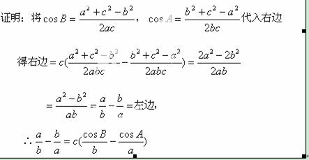
在△ABC中,求证:
a
b
-
b
a
=c(
cosB
b
-
cosA
a
).
在△ABC中,求证:
1+cosA-cosB+cosC
1+cosA+cosB-cosC
=tan
B
2
cot
C
2
.
在△ABC中,
求证:(1)sin
2
A+sin
2
B+sin
2
C=2+2cosAcosBcosC;
(2)cos
2
A+cos
2
B+cos
2
C=1-2cosAcosBcosC.
在△ABC中,求证sin(B+2C)+sin(C+2A)+sin(A+2B)=4sin
B-C
2
sin
C-A
2
sin
A-B
2
.
在△ABC中,求证:a
2
sin2B+b
2
sin2A=2absinC
关 闭
试题分类
高中
数学
英语
物理
化学
生物
地理
初中
数学
英语
物理
化学
生物
地理
小学
数学
英语
其他
阅读理解答案
已回答习题
未回答习题
题目汇总
试卷汇总
练习册解析答案