题目内容
已知圆(I)设P为圆C1上的一点,求三角形△ABP的最大面积;
(II)求直线AB与椭圆C2的方程.
【答案】分析:(Ⅰ)设圆的半径为r,易知点P到直线AB的最大距离为半径限度r,|AB|=2r,面积的最大值为
,代入可求
(Ⅱ)由
,可得得a2=2b2,于是椭圆C2的方程为x2+2y2=2b2.设直线AB的方程为y-1=k(x-2).联立方程,根据方程的根与系数关系及AB的中点横坐标为2可求K,代入弦长公式
可求直线AB的方程及b的值,进而可求椭圆方程
解答:解:(Ⅰ)设圆的半径为r,易知点P到直线AB的最大距离为半径限度r,|AB|=2r
故面积的最大值为
(Ⅱ)由
,得a2=2b2,
于是椭圆C2的方程为x2+2y2=2b2.
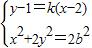
设直线AB的方程为y-1=k(x-2).
由
得(1+2k2)x2+4k(1-2k)x+2(2k-1)2-2b2=0,
再设A(x1,y1),B(x2,y2),则
,即
,得k=-1.
因此直线AB的方程为y=-x+3.此时,①式即为3x2-12x+18-2b2=0,
那么
.
从而b2=8,椭圆方程为x2+2y2=16,故所求的直线与椭圆方程分别为y=-x+3与x2+2y2=16.
点评:本题主要考查了利用椭圆的性质求解椭圆的方程,直线与椭圆的相交的应用,解题中要注意方程根与系数的应用,体会方程的思想在解题中的应用.
(Ⅱ)由
解答:解:(Ⅰ)设圆的半径为r,易知点P到直线AB的最大距离为半径限度r,|AB|=2r
故面积的最大值为
(Ⅱ)由
于是椭圆C2的方程为x2+2y2=2b2.
设直线AB的方程为y-1=k(x-2).
由
再设A(x1,y1),B(x2,y2),则
因此直线AB的方程为y=-x+3.此时,①式即为3x2-12x+18-2b2=0,
那么
从而b2=8,椭圆方程为x2+2y2=16,故所求的直线与椭圆方程分别为y=-x+3与x2+2y2=16.
点评:本题主要考查了利用椭圆的性质求解椭圆的方程,直线与椭圆的相交的应用,解题中要注意方程根与系数的应用,体会方程的思想在解题中的应用.
练习册系列答案
相关题目