题目内容
(12分)求过两点、且圆心在直线上的圆的标准方程并判断点与圆的关系.
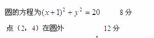
答案
求过点,且圆心在直线上的圆的方程.
求过点,且圆心在直线上的圆方程.
.(12分)
求过两点、且圆心在直线上的圆的标准方程并判断点与圆的关系.
.(12分)求过两点、且圆心在直线上的圆的标准方程并判断点与圆的关系.