题目内容

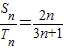
等差数列{an}和{bn}的前n项和分别为Sn和Tn,且,则( )
A.
B.
C.
D.
【答案】分析:根据等差数列的性质知,求两个数列的第五项之比,可以先写出两个数列的前9项之和之比,代入数据做出比值.
解答:解:∵等差数列{an}和{bn}的前n项和分别为Sn和Tn

====
故选D.
点评:本题考查等差数列的性质,是一个基础题,题目只要看出数列的基本量的运算,这种题目一般是一个送分题目.
练习册系列答案
相关题目

违法和不良信息举报电话:027-86699610 举报邮箱:58377363@163.com

精英家教网