题目内容

已知椭圆C的左、右焦点分别为,椭圆的离心率为,且椭圆经过点

(1)求椭圆C的标准方程;

(2)线段是椭圆过点的弦,且,求内切圆面积最大时实数的值.

 

【答案】

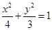
(1);(2).

【解析】

试题分析:本题主要考查直线、椭圆的标准方程及其性质,考查思维能力,运算能力.第一问,利用离心率和椭圆过定点求椭圆的标准方程;第二问,分两种情况:当直线轴垂直时,比较直观,可求得,而当直线不与轴垂直时,设出直线的方程,让它与椭圆联立,消去参数,得到两根之和、两根之积,代入到中,通过配方法求面积的最大值,利用内切圆半径列出的面积,解出的范围,得到,此时直线轴垂直,所以.

试题解析:(1),又

     4分

(2)显然直线不与轴重合

当直线轴垂直时,||=3,;      5分

当直线不与轴垂直时,设直线代入椭圆C的标准方程,

整理,得

                     7分

所以

由上,得

所以当直线轴垂直时最大,且最大面积为3         10分

内切圆半径,则

,此时直线轴垂直,内切圆面积最大

所以,            12分

考点:1.椭圆的标准方程;2.直线的标准方程;3.韦达定理;4.三角形面积公式;5.配方法求最值.

 

练习册系列答案
相关题目

违法和不良信息举报电话:027-86699610 举报邮箱:58377363@163.com

精英家教网