题目内容
设函数
(Ⅰ)若f(x)在x=2时有极值,求实数a的值和f(x)的单调区间;
(Ⅱ)若f(x)在定义域上是增函数,求实数a的取值范围.
(Ⅰ)若f(x)在x=2时有极值,求实数a的值和f(x)的单调区间;
(Ⅱ)若f(x)在定义域上是增函数,求实数a的取值范围.
解:(1)∵f(x)在x=2时有极值,
∴有f'(2)=0,
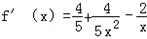
又
,
∴有
,∴![]()
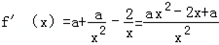
∴有
=
,
由f'(x)=0有
,
将x,f'(x),f(x)关系列表如下,定义域为(0,+∞)![]()
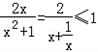
(Ⅱ)若f(x)在定义域上是增函数,则f'(x)≥0在x>0时恒成立,
∵
,
∴需x>0时ax2﹣2x+a≥0恒成立,化为
恒成立,
∵
,
∴a≥1,此为所求
练习册系列答案
相关题目