题目内容
各项均为正数的数列{an}的前n项和为Sn,(1)求an;
(2)令
(3)令
【答案】分析:(1)由题意知
,(an+an-1)(an-an-1-2)=0,由此可知an=2n(n∈N*).
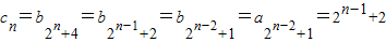
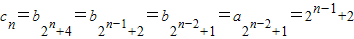
(2)由题意知c1=b6=b3=a3=6,c2=b8=b4=b2=b1=a1=2,所以
,由此可知
.
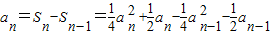
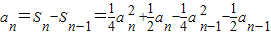
(3)由题设条件知得
,由此可以推导出存在
,
.
解答:解:(1)
,
∵a1>0,∴a1=2;
当n≥2时,
,
,即(an+an-1)(an-an-1-2)=0
∵an>0,∴an-an-1=2,∴{an}为等差数列,(2分)
∴an=2n(n∈N*);(4分)
(2)c1=b6=b3=a3=6,c2=b8=b4=b2=b1=a1=2,(6分)
n≥3时,
,(8分)
此时,Tn=8+(22+2)+(23+2)+(2n-1+2)=2n+2n;
∴
;(10分)
(3)
,
令
,(14分)
∴存在
,
.(16分)
点评:本题考查数列性质的综合应用,解题时要认真审题,仔细解答.
(2)由题意知c1=b6=b3=a3=6,c2=b8=b4=b2=b1=a1=2,所以
(3)由题设条件知得
解答:解:(1)
∵a1>0,∴a1=2;
当n≥2时,
∵an>0,∴an-an-1=2,∴{an}为等差数列,(2分)
∴an=2n(n∈N*);(4分)
(2)c1=b6=b3=a3=6,c2=b8=b4=b2=b1=a1=2,(6分)
n≥3时,
此时,Tn=8+(22+2)+(23+2)+(2n-1+2)=2n+2n;
∴
(3)
令
∴存在
点评:本题考查数列性质的综合应用,解题时要认真审题,仔细解答.
练习册系列答案
相关题目