题目内容
函数f(x)=Asin(ωx+φ)(x∈R,A>0,ω>0,
)的部分图象如图所示。
(1)求f(x)的解析式;
(2)设
,求函数g(x)在
上的最大值,并确定此时x的值。
(2)设
解:(1)由图知A=2,
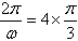
,
则
∴
又
,
∴
∵
∴
∴
,即
∴f(x)的解析式为
。
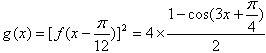
(2)由(1)可得

∴

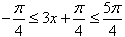
∵
∴
∴当
,即
时,g(x)max=4。
则
∴
又
∴
∵
∴
∴
∴f(x)的解析式为
(2)由(1)可得
∴
∵
∴
∴当
练习册系列答案
相关题目