题目内容
在△ABC中,设内角A、B、C的对边分别为a、b、c,向量
=(cosA,sinA),向量
=(-sinA,cosA),若|
+
|=2。
(1)求角A的大小;
(2)若b=4
,且c=
a,求△ABC的面积。
(1)求角A的大小;
(2)若b=4
解:(1)

=4,
∴
,
,
∴
。
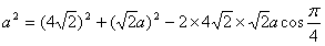
(2)由余弦定理,知
,
即
,
解得:
,∴c=8,
∴
。
∴
∴
(2)由余弦定理,知
即
解得:
∴
练习册系列答案
相关题目
题目内容