题目内容
已知O为坐标原点,
=(2asin2x,a),
,f(x)=
+b(a≠0),
(Ⅰ)求函数f(x)的解析式,并化成f(x)=4sin(ωx+φ)+B的形式,再求f(x)的周期;
(Ⅱ)若函数f(x)的定义域为
,值域为[2,5],求a,b的值。
(Ⅰ)求函数f(x)的解析式,并化成f(x)=4sin(ωx+φ)+B的形式,再求f(x)的周期;
(Ⅱ)若函数f(x)的定义域为
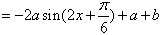
解:(Ⅰ)f(x)=
+b


,
函数的周期为
;
(Ⅱ)因为
,所以
,
当a>0时,
;
当a<0时,
。
函数的周期为
(Ⅱ)因为
当a>0时,
当a<0时,
练习册系列答案
相关题目