题目内容

写为根式,则正确的是( )
A.
B.
C.
D.
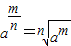
【答案】分析:题目给出了一个分数指数幂,化为根式时,分数指数的分母为几就是开几次方根,分数指数的分子为根式内的幂指数.
解答:解:将写为根式,结果应是2次根下5的立方,所以=
故选D.
点评:本题考查了根式与分数指数幂的互化及其化简运算,解答的关键是熟记(a>0,m,n∈N*,且n>1).
练习册系列答案
相关题目

违法和不良信息举报电话:027-86699610 举报邮箱:58377363@163.com

精英家教网