题目内容
设函数f(x)=A.a>b>c
B.a>c>b
C.b>a>c
D.c>a>b
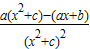
【答案】分析:由函数图象可得f(0)=
=0,解得b=0,又f(1)=
=1,故a=c+1,再由f′(1)=0,可得c的值,进而可得a的值,故可比较大小.
解答:解:由函数图象可得f(0)=
=0,解得b=0,
又f(1)=
=1,故a=c+1,
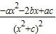
又f′(x)=
=
,
由图可知x=1为函数的极值点,故f′(1)=0,
即-a+ac=0,解得c=1,a=2,
故a>c>b,
故选B
点评:本题考查由函数的图象求解函数的系数的问题,属基础题.
解答:解:由函数图象可得f(0)=
又f(1)=
又f′(x)=
由图可知x=1为函数的极值点,故f′(1)=0,
即-a+ac=0,解得c=1,a=2,
故a>c>b,
故选B
点评:本题考查由函数的图象求解函数的系数的问题,属基础题.
练习册系列答案
相关题目
设函数f(x)=asinx-bcosx图象的一条对称轴方程为x=
,则直线ax-by+c=0的倾斜角为( )
| π |
| 4 |
A、
| ||
B、
| ||
C、
| ||
D、
|