题目内容
已知椭圆(1)若直线l的方程为y=x-4,求弦MN的长;
(2)如果△BMN的重心恰好为椭圆的右焦点F,求直线l方程的一般式.
【答案】分析:(1)由已知中椭圆
(a>b>0)的一个顶点为B(0,4),离心率e=
,根据e=
,b=4,a2=b2+c2可求出椭圆的标准方程,进而求直线l的方程及弦长公式,得到弦MN的长;
(2)设线段MN的中点为Q(x,y),结合(1)中结论,及△BMN的重心恰好为椭圆的右焦点F,由重心坐标公式,可得Q点坐标,由中点公式及M,N也在椭圆上,求出MN的斜率,可得直线l方程.
解答:
解:(1)由已知椭圆
(a>b>0)的一个顶点为B(0,4),
∴b=4,
又∵离心率e=
,
即
,
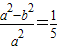
∴
,解得a2=20,
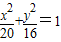
∴椭圆方程为
; …(3分)
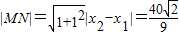
由4x2+5y2=80与y=x-4联立,
消去y得9x2-40x=0,
∴x1=0,
,
∴所求弦长
; …(6分)
(2)椭圆右焦点F的坐标为(2,0),
设线段MN的中点为Q(x,y),
由三角形重心的性质知
,又B(0,4),
∴(2.-4)=2(x-2,y),
故得x=3,y=-2,
求得Q的坐标为(3,-2); …(9分)
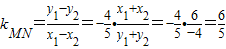
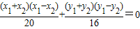
设M(x1,y1),N(x2,y2),则x1+x2=6,y1+y2=-4,
且
,…(11分)
以上两式相减得
,
∴
,
故直线MN的方程为
,即6x-5y-28=0. …(13分)
点评:本题考查的知识点是直线的一般方程,直线与圆锥曲线,熟练掌握椭圆的简单性质是重心坐标,中点公式等基本公式,是解答的关键.
(2)设线段MN的中点为Q(x,y),结合(1)中结论,及△BMN的重心恰好为椭圆的右焦点F,由重心坐标公式,可得Q点坐标,由中点公式及M,N也在椭圆上,求出MN的斜率,可得直线l方程.
解答:
∴b=4,
又∵离心率e=
即
∴
∴椭圆方程为
由4x2+5y2=80与y=x-4联立,
消去y得9x2-40x=0,
∴x1=0,
∴所求弦长
(2)椭圆右焦点F的坐标为(2,0),
设线段MN的中点为Q(x,y),
由三角形重心的性质知
∴(2.-4)=2(x-2,y),
故得x=3,y=-2,
求得Q的坐标为(3,-2); …(9分)
设M(x1,y1),N(x2,y2),则x1+x2=6,y1+y2=-4,
且
以上两式相减得
∴
故直线MN的方程为
点评:本题考查的知识点是直线的一般方程,直线与圆锥曲线,熟练掌握椭圆的简单性质是重心坐标,中点公式等基本公式,是解答的关键.
练习册系列答案
相关题目