题目内容
(本小题满分为12分)
已知函数
和
.
(Ⅰ)设
是
的极大值点,
是
的极小值点,求
的最小值;
(Ⅱ)若
,且
,求
的值.
答案
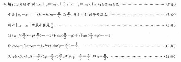
![]()
练习册系列答案
相关题目
(本小题满分为12分)
某中学研究性学习小组,为了考察高中学生的作文水平与爱看课外书的关系,在本校高三年级随机调查了
名学生。调査结果表明:在爱看课外书的
人中有
人作文水平好,另
人作文水平一般;在不爱看课外书的
人中有
人作文水平好,另
人作文水平一般.
(Ⅰ)试根据以上数据建立一个
列联表,并运用独立性检验思想,指出有多大把握认为中学生的作文水平与爱看课外书有关系?
(Ⅱ)将其中某5名爱看课外书且作文水平好的学生分别编号为
,某
名爱看课外书且作文水平一般的学生也分别编号为
,从这两组学生中各任选
人进行学习交流,求被选取的两名学生的编号之和为
的倍数或
的倍数的概率.
附:![]()
临界值表:
|
|
0. 10 |
0. 05 |
0. 025 |
0.010 |
0. 005 |
0. 001 |
|
|
2. 706 |
3. 841 |
5. 024 |
6. 635 |
7. 879 |
10. 828 |