题目内容
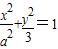
已知椭圆E:(1)求椭圆E的方程;
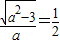
(2)若圆C与y轴相交于不同的两点A,B,求△ABC的面积的最大值.
【答案】分析:(1)椭圆方程中给出了短半轴长,结合离心率等于
即可求出a的值,则椭圆方程可求;
(2)由椭圆的对称性可知圆心在x轴上,把x=t和椭圆方程联立求出圆的半径,然后由弦心距公式求出AB的长,代入面积公式后利用基本不等式求最值.
解答:解:(1)∵椭圆E:
(a
)的离心率e=
,
∴
,解得a=2.
∴椭圆E的方程为
;
(2)依题意,圆心C(t,0)(0<t<2).
由
,得
.
∴圆C的半径为r=
.
∵圆C与y轴相交于不同的两点A,B,且圆心C到y轴的距离d=t,
∴0<t<
,即0<t<
.
∴弦长|AB|=2
.
∴△ABC的面积S=
=
.
当且仅当
,即
时等号成立.
所以△ABC的面积的最大值为
.
点评:本题考查了椭圆的标准方程,考查了直线与圆锥曲线的关系,训练了利用基本不等式求最值,考查了学生的计算能力,是有一定难度题目.
(2)由椭圆的对称性可知圆心在x轴上,把x=t和椭圆方程联立求出圆的半径,然后由弦心距公式求出AB的长,代入面积公式后利用基本不等式求最值.
解答:解:(1)∵椭圆E:
∴
∴椭圆E的方程为
(2)依题意,圆心C(t,0)(0<t<2).
由
∴圆C的半径为r=
∵圆C与y轴相交于不同的两点A,B,且圆心C到y轴的距离d=t,
∴0<t<
∴弦长|AB|=2
∴△ABC的面积S=
当且仅当
所以△ABC的面积的最大值为
点评:本题考查了椭圆的标准方程,考查了直线与圆锥曲线的关系,训练了利用基本不等式求最值,考查了学生的计算能力,是有一定难度题目.
练习册系列答案
相关题目