题目内容

已知等差数列an的前n项和为Sn,且满足:a2+a4=14,S7=70.
(I)求数列an的通项公式;
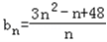
(II)设,数列bn的最小项是第几项,并求出该项的值.
解:(I)设公差为d,则有
解得     所以an=3n﹣2.    
(II)                
所以=﹣1      
当且仅当,即n=4时取等号,
故数列{bn}的最小项是第4项,该项的值为23.      
练习册系列答案
相关题目

违法和不良信息举报电话:027-86699610 举报邮箱:58377363@163.com

精英家教网