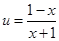
题目内容

,函数单调递减,则(   )

A.在上单调递减,在上单调递增

B.在上单调递增,在上单调递减

C.在上单调递增,在上单调递增

D.在上单调递减,在上单调递减

 

【答案】

A

【解析】

试题分析:因为当时,单调递减,由复合函数单调性知,.又函数的定义域为,关于原点对称且, 故函数为奇函数,而函数在减,由奇函数图象特征得函数在也减,在A,D中选;当时,,因为减,减,故增,由于是奇函数,故在上单调递增,综上可知选A.

考点:对数函数、复合函数单调性.

 

练习册系列答案
相关题目

违法和不良信息举报电话:027-86699610 举报邮箱:58377363@163.com

精英家教网