题目内容
已知动点M到点A(2,0)的距离是它到点B(8,0)的距离的一半,求:(1)动点M的轨迹方程;(2)若N为线段AM的中点,试求点N的轨迹.
【答案】分析:(1)设动点M(x,y)为轨迹上任意一点,则点M的轨迹就是集合P=
.由两点距离公式,能求出动点M的轨迹方程.
(2)设动点N的坐标为(x,y),M的坐标是(x1,y1).由A(2,0),且N为线段AM的中点,知x1=2x-2,y1=2y,由M是圆x2+y2=16上的点,知M坐标(x1,y1)满足:x12+y12=16,由此能求出点N的轨迹.
解答:解:(1)设动点M(x,y)为轨迹上任意一点,则点M的轨迹就是集合
P=
.(1分)
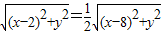
由两点距离公式,点M适合的条件可表示为
,
(3分)
平方后再整理,得x2+y2=16.(5分)
(2)设动点N的坐标为(x,y),M的坐标是(x1,y1).(6分)
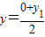
由于A(2,0),且N为线段AM的中点,所以
,
所以有x1=2x-2,y1=2y①(8分)
由(1)题知,M是圆x2+y2=16上的点,
所以M坐标(x1,y1)满足:x12+y12=16②(9分)
将①代入②整理,得(x-1)2+y2=4.(11分)
所以N的轨迹是以(1,0)为圆心,以2为半径的圆(12分)
点评:本题考查轨迹方程,解题时要认真审题,仔细求解,注意公式的合理运用.
(2)设动点N的坐标为(x,y),M的坐标是(x1,y1).由A(2,0),且N为线段AM的中点,知x1=2x-2,y1=2y,由M是圆x2+y2=16上的点,知M坐标(x1,y1)满足:x12+y12=16,由此能求出点N的轨迹.
解答:解:(1)设动点M(x,y)为轨迹上任意一点,则点M的轨迹就是集合
P=
由两点距离公式,点M适合的条件可表示为
(3分)
平方后再整理,得x2+y2=16.(5分)
(2)设动点N的坐标为(x,y),M的坐标是(x1,y1).(6分)
由于A(2,0),且N为线段AM的中点,所以
所以有x1=2x-2,y1=2y①(8分)
由(1)题知,M是圆x2+y2=16上的点,
所以M坐标(x1,y1)满足:x12+y12=16②(9分)
将①代入②整理,得(x-1)2+y2=4.(11分)
所以N的轨迹是以(1,0)为圆心,以2为半径的圆(12分)
点评:本题考查轨迹方程,解题时要认真审题,仔细求解,注意公式的合理运用.
练习册系列答案
相关题目