题目内容

椭圆(a>b>0)与直线x+y=1交于P、Q两点,且OP⊥OQ,其中O为坐标原点.
(1)求的值;
(2)若椭圆的离心率e满足≤e≤,求椭圆长轴的取值范围.
【答案】分析:(1)设P(x1,y1),Q(x2,y2)由OP⊥OQ 可得 x 12+y1 y 2=0结合y1=1-x1,y2=1-x2可得2x1x2-(x1+x2)+1=0,将y=1-x代入可得(a2+b2)x2-2a2x+a2(1-b2)=0则代入整理可求
(2))由 及   可求a得范围
解答:解:设P(x1,y1),Q(x2,y2)由OP⊥OQ 可得 x 12+y1 y 2=0(2分)
∵y1=1-x1,y2=1-x2
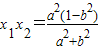
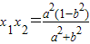
∴2x1x2-(x1+x2)+1=0①又将y=1-x代入可得(a2+b2)x2-2a2x+a2(1-b2)=0
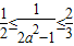
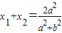
∵△>0∴(4分)
代入①化简得 .(6分)
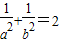
(2)∵

(8分)
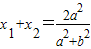
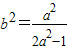
又由(1)知   (9分)
,(11分)
∴长轴 2a∈[].(12分)
点评:本题主要考查了直线与圆锥曲线的位置关系的应用,方程的思想的应用圆锥曲线的性质的应用,属于性质的应用,要求具备一定的综合应用知识的能力.
练习册系列答案
相关题目

违法和不良信息举报电话:027-86699610 举报邮箱:58377363@163.com

精英家教网